• <tt id="qqqqq"></tt>
  • <li id="qqqqq"></li>
  • <li id="qqqqq"><tt id="qqqqq"></tt></li>
  • <li id="qqqqq"></li>
    無憂MBA論文網MBA論文 > MBA畢業論文 > 財會管理 > 正文

    H銀行財務共享模式下費用報銷流程優化思考

    時間:2023-04-19 來源:m.jseastgenia.com作者:vicky

    本文是一篇財會管理論文,本文以H銀行的費用報銷模塊作為研究對象,通過對比傳統業務流程存在的弊端,以及財務共享模式改革下業務流程優化的具體過程、效果分析,發現財務共享不僅改變了傳統管理模式下財務人員作業方式,并且改變了企業組織構架、職能分布。
    第一章緒論
    第一節研究背景及意義
    一、研究背景
    近年來,共享經濟作為國民經濟發展的熱點,其本質是把閑置的資源通過社會化平臺與他人一起共享,達到節約成本、提高運營效率的作用。隨著共享經濟的不斷發展,各類共享產品如雨后春筍般層出不窮,例如共享單車、共享雨傘、共享充電樁、共享辦公室等。

    財會管理論文怎么寫
    財會管理論文怎么寫

    財務共享是共享理念在財務工作中的應用。上世紀80年代,福特公司率先建立了全球第一個財務共享服務中心,將下屬公司簡單的、共有的、重復性的財務活動都集中到財務共享中心來完成,這也是財務共享概念首次進入人們的視野,其創新的管理理念和節約基礎會計管理成本等目標被其他企業所認可。上世紀90年代,財務共享理念迅速推廣,許多大型集團、跨國公司紛紛建立了財務共享中心,并取得良好的實踐效果,根據對30家在歐洲建立財務共享中心的跨國企業進行調查發現,他們的財務成本平均降低30%以上。上世紀末,財務共享的理念傳入中國,國內的企業管理者也逐漸意識到了財務共享帶來的創新和價值,中興通訊是我國第一個建立財務共享中心的大型企業,隨后,海爾集團、上藥集團、平安集團騰訊、華為等也建立了符合自身情況的財務共享中心。
    習近平總書記在以互通互聯、共享共治為主題的第二屆世界互聯網大會上提出,加強信息基礎設施建設,鋪就信息暢通之路。財政部也提出了大型集團應探索利用信息基數,逐步建立財務共享中心的理念。由此,為我國企業在探索財務共享道路上提供了政策依據。
    .........................
    第二節國內外研究現狀
    一、國外研究現狀
    上世紀80年代,著名的汽車制造商福特公司最先推出了共享服務。由此開始,學術界開始對共享服務進行深入研究,財務共享的概念也由此提出,并取得了豐富的研究成果。
    (一)財務共享的概念研究
    1993年,RobertGunn等人首次提出了共享服務的概念,他們的研究指出在為企業提供服務的過程中,通過對技術和組織等資源進行共享,能使企業在分散的管理中取得競爭優勢,這也是最早提出的共享服務的理念[1]。1996年,Danna Keith和RebeccaHirschfield通過共享服務中心進行研究,他們在研究中指出,共享服務中心主要的職能是將組織中分散的日?;顒舆M行整合、規范,并根據服務內容進行業務單元收費,它應具有一定的獨立性,是一個獨立的實體[2]。2005年,Andrew Kris的《SharedService》一書中指出,企業的財務、人事及信息技術可以通過實現服務共享,達到提高工作效率,增強企業核心競爭力的目標[3]。2012年,Johnson的研究表明,財務共享是集中處理財務業務的過程,它通過把人員與技術進行整合,提升財務服務質量,進而達到節約運營成本的目的[4]。2014年,SiminicaMarian的研究指出,財務管理在企業的發展戰略中,起著決定性的作用,企業財務管理的模式必須與企業的發展方向保持一致[5]。2017年,KateJ.Soln,Sun-YoumgPark通過研究,提出財務共享模式是一種以業務流程為中心,通過整合企業信息流,進行組織機構改革和流程的優化,為業務展開提供服務支持[6]。2019年,CaseyJ.Totenhagcn在研究中提出了,共享是將企業原有的業務進行重組,它包含了企業各方面資源的共享,不是只限于財務信息。通過共享能使資源配置變得精準,推動企業聚焦自身業務和規模擴大的戰略[7]。
    (二)財務共享的優勢研究
    2014年,Huang通過對共享服務中心的理論發展過程進行研究,他認為可以通過資源共享降低企業的管理成本[8]。2014年,Hu、Liu的研究表明,共享服務借助移動互聯網、云計算等新興技術,可以有效降低企業成本,提升管理效能。財務共享服務模式運用移動互聯網、云計算等新興技術,將有力推動財務共享中心建設飛速發展[9]。2015年,Markus提出了集中式的財務管理模式,他認為通過財務的共享、集中有利于企業獲取財務數據信息,強化對下屬機構的財務監控,避免財務風險的發生[10]。2016年,Ibrahim在研究中指出,財務共享管理模式有助于企業進行更有效的決策,它是企業進行精細化管理的必要手段,有利于促進企業的穩健發展[11]。
    ............................
    第二章相關概念及理論基礎
    第一節財務共享相關概述
    一、財務共享的產生
    第二次世界大戰以后,經濟全球化迅速推進,世界貿易走向自由化和一體化的道路,跨國公司、大型集團企業迎來了擴張黃金期,企業的組織構架不停的膨脹,受到的來自地域、地理的限制不斷縮小,在世界各地紛紛建立分(子)公司。
    正是因為這種發展形式,企業后臺部門如人力、財務已無法提供有效的運營服務,特別是下屬分支機構不斷設立,后臺部門也得不停擴張,財務管理形成一種分散性模式,工作效率低下、管理成本上升等問題不斷涌現,企業管理者們開始嘗試著尋找新的管理模式。
    1913年,美國福特公司在生產過程中創新性引入流水線的模式,大大降低了產品的生產成本,提高了工作效率,帶來了一次汽車制造業上變革,上世紀80年代,福特公司把『流水線』的模式延伸至集團財務工作,將財務工作中基礎環節交給固定財務人員集中辦理,并成立了全世界第一個財務共享服務中心,這是財務共享第一次出現在公眾視野。
    二、財務共享的概念
    財務共享概念出現以后,受到了越來越多的學者、企業家、管理者們的青睞,這一理念也不斷的完善,筆者在前人基礎上將財務共享總結定義為:財務共享是以信息技術為支撐,以處理業務流程為基礎,以統一規范流程、優化組織架構、提升工作效率,形成規模效應、降低運行成本為目的,站著市場的視角,為企業內外部的客戶提供了專業化服務的創新性管理模式。我們將提供這一服務的機構稱為財務共享服務中心,簡稱FSSC(Financial Shared Service Center),企業內部把日常的、分散的、重復性的、可批量操作的、非核心的財務業務集中到財務共享服務中心標準、統一的處理,促進企業內部業務流程規范簡化,讓財務業務處理產生了規模效應,實現了信息共享,進而提升企業整體運行效率,財務人員也從繁瑣的基礎業務中釋放出來,并向財務管理高端人才轉型。
    .............................
    第二節業務流程再造、優化相關理論
    一、業務流程再造的含義
    1993年,Michael Hammer和James Champy在出版的合著中首次提出了業務流程再造(Business Process Reengineering,簡稱BPR)理論,他們論述:“流程再造”是企業依靠現代化的技術手段及新的管理理念,是對業務流程從根本上的思考和徹底性的再設計,以滿足客戶需求和提升滿意度為目標,重新建立一個創新型的組織結構以達到在成本、速度、服務和質量方面取得明顯改善的目標。
    二、業務流程優化的概述
    由于企業業務流程再造時往往需要花費更多的人力財力,在實際操作過程中,基于成本最優原則,企業往往更傾向于采用成本相對較低的業務流程優化來提升業務流程運行效率。
    業務流程優化(Bussiness Process Improvement,BRI)是企業對內部的流程現狀充分了解,深入分析可以優化改進的空間,根據自己的需要對流程進行整體或部分節點上的優化或重組,以達到降低運行成本,提高工作效率,提升企業競爭力目標。因此,業務流程優化優化有以下特征:
    一是以價值為中心。業務流程優化是根據流程最優的目標優化流程中環節,提升流程運行效率,優化過程中刪除或簡化了低增值環節,保留精細化的價值環節,實現了以價值為中心。
    二是以流程為導向。流程優化的目的是通過改變組織結構、業務流程、工作形式等方式,使企業以傳統的職能導向型為中心轉變為以流程導向型為中心的管理方式,使各部門之間分散割裂的業務流程改造為完整連貫的整合業務流程。
    三是以客戶需求為目標。這里的客戶,不僅有企業內部的客戶,也有企業外部的客戶,流程優化應以內外部客戶需求為目標,以客戶為導向提升服務質量。
    .......................
    第三章H銀行財務共享模式前費用報銷流程現狀分析..................18
    第一節H銀行基本狀況.................................18
    第二節H銀行財務管理現狀.........................20
    第四章H銀行財務共享模式下費用報銷流程優化..........................30
    第一節H銀行財務共享模式下費用報銷流程優化的動因分析..........................30
    一、外部因素.............................30
    二、內部因素..................................30
    第五章費用報銷流程優化后效果評估和保障措施.........................43
    第一節流程優化后效果評估...........................43
    一、費用報銷時效性提高.................................43
    二、提高費用使用效率...........................45
    第五章費用報銷流程優化后效果評估和保障措施
    第一節流程優化后效果評估
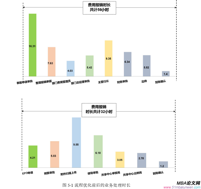
    H銀行財務共享建立以后,通過企業組織形式變革、財務管理系統的建立和升級、業務流程優化等一系列措施,減少非增值的環節,H銀行財務共享模式下的費用報銷流程優化壓縮了費用報銷平均時長,提高了費用使用效率,節約了財務成本,強化了內部控制、加強預算管理,為全面預算提供了技術支持。通過分析2014年至2020年H銀行財務報表、內部統計資料的方式,本節從費用報銷流程優化后的數據對比分析優化流程取得的效果。

    財會管理論文參考
    財會管理論文參考

    一、費用報銷時效性提高
    H銀行財務共享中心建立后,一方面通過引進先進的財務管理系統,增加了移動報銷平臺,線上審批替代了線下審批,突破了空間和時間的限制,改善了報銷人員拿著單據四處找領到簽字的現象,費用報銷得到了實時審批。一方面針對原流程弊端,消除了流程中多余重復環節,事前審批就從16.31時長縮短到10.24時長,極大提高了報銷效率。另一方面,流程優化前,財務人員任務都是隨機分配,很容易出現任務分配不均的現象,優化后系統根據任務量多少自動派單,使財務人員更能合理安排工作時間,提高審批效率。
    員工報銷費用最關注的是多久能收到這筆報銷費用。優化前的費用報銷流程主要包括8個主要環節:事前申請,事后整理報銷單據、部門費用管理員審批,部門總經理審批,主管行長審批,財務審批,出納付款,確認到賬。優化后費用報銷流程主要包括7個主要環節,包括:EPO發起申請,領導預算審批,上傳附件,領導審批,提交財務共享中心會計審核崗,出納支付,確認到賬等。
    .......................
    第六章總結及展望
    第一節總結
    本文以H銀行的費用報銷模塊作為研究對象,通過對比傳統業務流程存在的弊端,以及財務共享模式改革下業務流程優化的具體過程、效果分析,發現財務共享不僅改變了傳統管理模式下財務人員作業方式,并且改變了企業組織構架、職能分布。主要得出以下的研究結論:
    一、業務流程優化是財務共享模式的微觀表現
    在系統方面,財務共享中心需要自身系統和企業內部系統之間完成數據傳遞來提升工作效率;在組織構架方面,財務共享中心把財務工作從企業中剝離出來,形成了“端到端”的工作方式,在新的工作方式下H銀行需要重新設計業務流程;在財務工作方面,財務共享對工作流程進行了重新設計,形成了“工作線”的概念。所以,流程優化貫穿于整個財務共享改革中,財務共享是企業管理模式改革的宏觀角度,流程優化是財務共享的微觀表現。
    二、管理的重要性
    財務共享模式下,業務流程被細分,財務工作人員就像在流水線一樣,每人負責很一份細小的任務,一項任務結束后緊接著進入下一項任務,一環緊扣一環,為了保障工作保質保量完成,需要每個環節不出差錯,這就體現了關注管理的重要性,管理始終是人的管理,只有做好對共享服務從業人員的管理,才能保障新的理念和技術的落實。
    三、依托于先進的信息技術
    財務共享下的業務流程優化,離不開高度集成的信息技術,無論是從最開始的發起申請、線上審核還是最后的資金支付,都依賴于系統的功能,系統為財務共享中心建立、業務流程優化提供了技術條件,這也是為什么H銀行花費大量資金用于系統研發、升級和維護的原因。
    參考文獻(略)

    ?
    想畢業,找代寫
    在線咨詢 在線留言咨詢
    QQ在線
    返回頂部
  • <tt id="qqqqq"></tt>
  • <li id="qqqqq"></li>
  • <li id="qqqqq"><tt id="qqqqq"></tt></li>
  • <li id="qqqqq"></li>
    欧美激情视频一区 久治县| 青铜峡市| 定兴县| 昂仁县| 南汇区| 寿宁县| 烟台市| 永州市| 青川县| 昭平县| 石河子市| 宜君县| 东平县| 务川| 保山市| 桂东县| 三都| 富阳市| 舒城县| 库伦旗| 三门峡市| 通州市| 海南省| 图木舒克市| 南充市| 宣化县| 沁阳市| 卢龙县| 三台县| 乐平市| 汝城县| 施秉县| 杨浦区| 双柏县| 滁州市| 乡宁县| 永兴县| 灌阳县| 高阳县| 临城县| 高尔夫| http://444 http://444 http://444